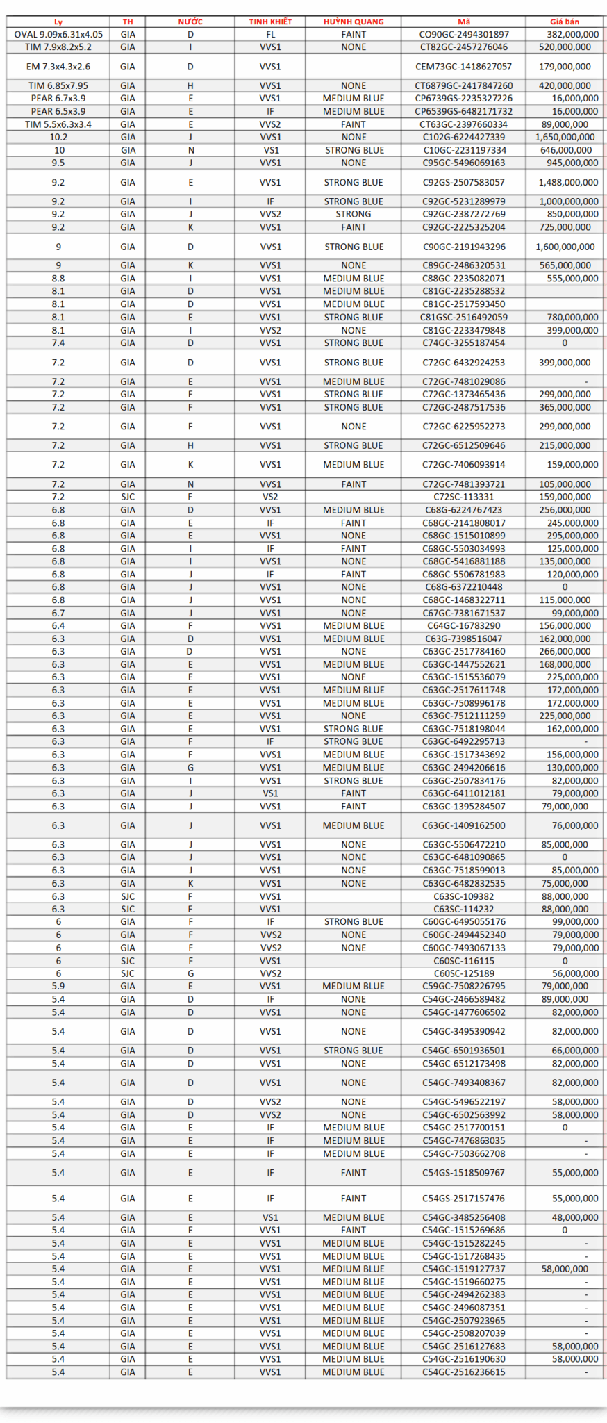
bảng giá kim cương thiên nhiên RỜI

Ảnh: Xác nhận từ viện đá quý Hoa Kỳ GIA – Long Ngọc Luxury là nơi bán kim cương GIA thiên nhiên chính hãng

Ảnh: Xác nhận từ viện đá quý Hoa Kỳ GIA – Long Ngọc Luxury là nơi bán kim cương GIA thiên nhiên chính hãng